当前位置:首页 > 正文

百色中学特困班受助学生写来的感谢信

来源:乐鱼(中国)一站式服务平台 作者:乐鱼(中国)一站式服务平台 时间:2015-07-01 点击:5757 次

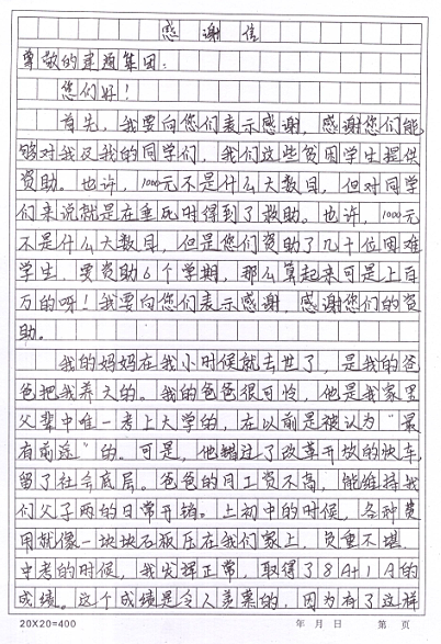
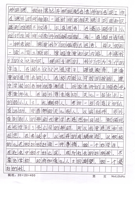
  集团于2014年8月2日向百色市教育基金会捐赠了100万元人民币,用于资助百色中学特困班学生完成学业,这一举动反映出集团邓安杰董事长热心公益事业、支持公益事业的决心。通过参加这样的活动不仅是对我集团员工进行一场心灵上的教育,更是希望带动乐鱼平台力量汇入到爱的暖流中,让我们的孩子都能读书,都能读好书。
  今年3月,百色中学的30多位受助学生纷纷给集团写来了感谢信,感谢集团对他们的资助,让他们能继续安安心心的读书,不用为因家里困难而随时面临辍学的事情困扰。
  图为摘录2位受助生来信:
  • 分享: